欢迎来到桂林航天工业学院管理学院!
部门首页
部门概况
学院简介
现任领导
组织机构
师资队伍
创新团队
荣誉墙
党建工作
组织建设
组织发展
理论学习
党务公开
特色党建
专业介绍
本科
中外合作
留学生教育
专科
教学科研
教学工作
科研工作
产学研合作
科研平台
广西航空物流中心
招生就业
招生工作
就业工作
校友风采
团学工作
组织建设
创新创业
活动动态
学生社团
优秀学子
学生工作
学工队伍
学工动态
规章制度
公示专区
班级展示
样板党支部
党支部介绍
党建园地
双带头人工作室
资源下载
教师资源下载
学生资源下载
网络教学资源
专业学会期刊
学校主页
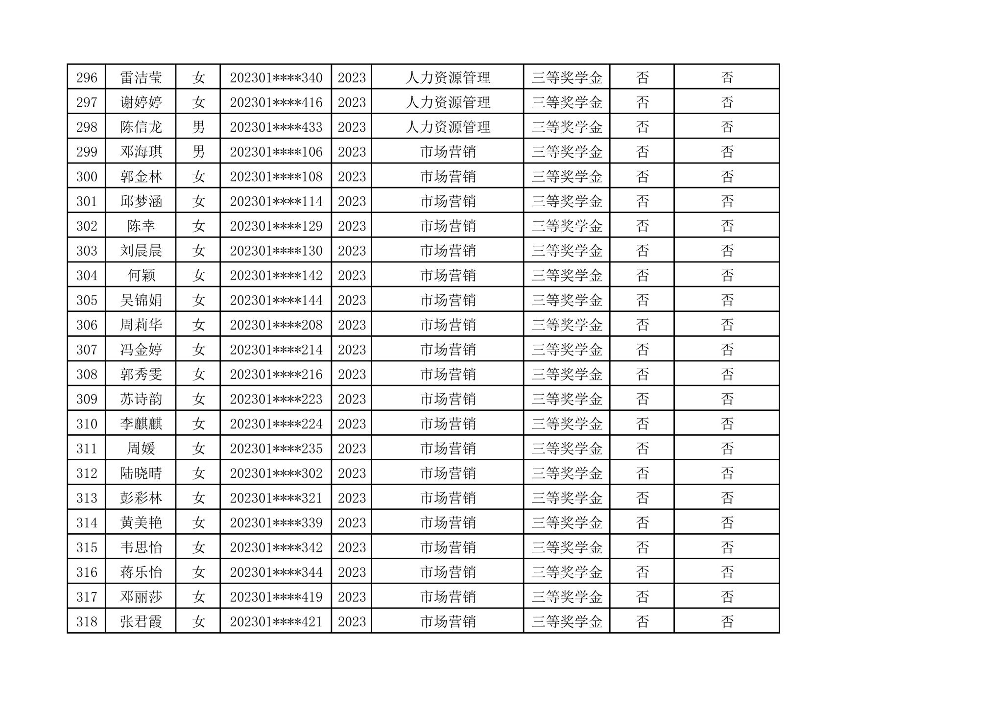
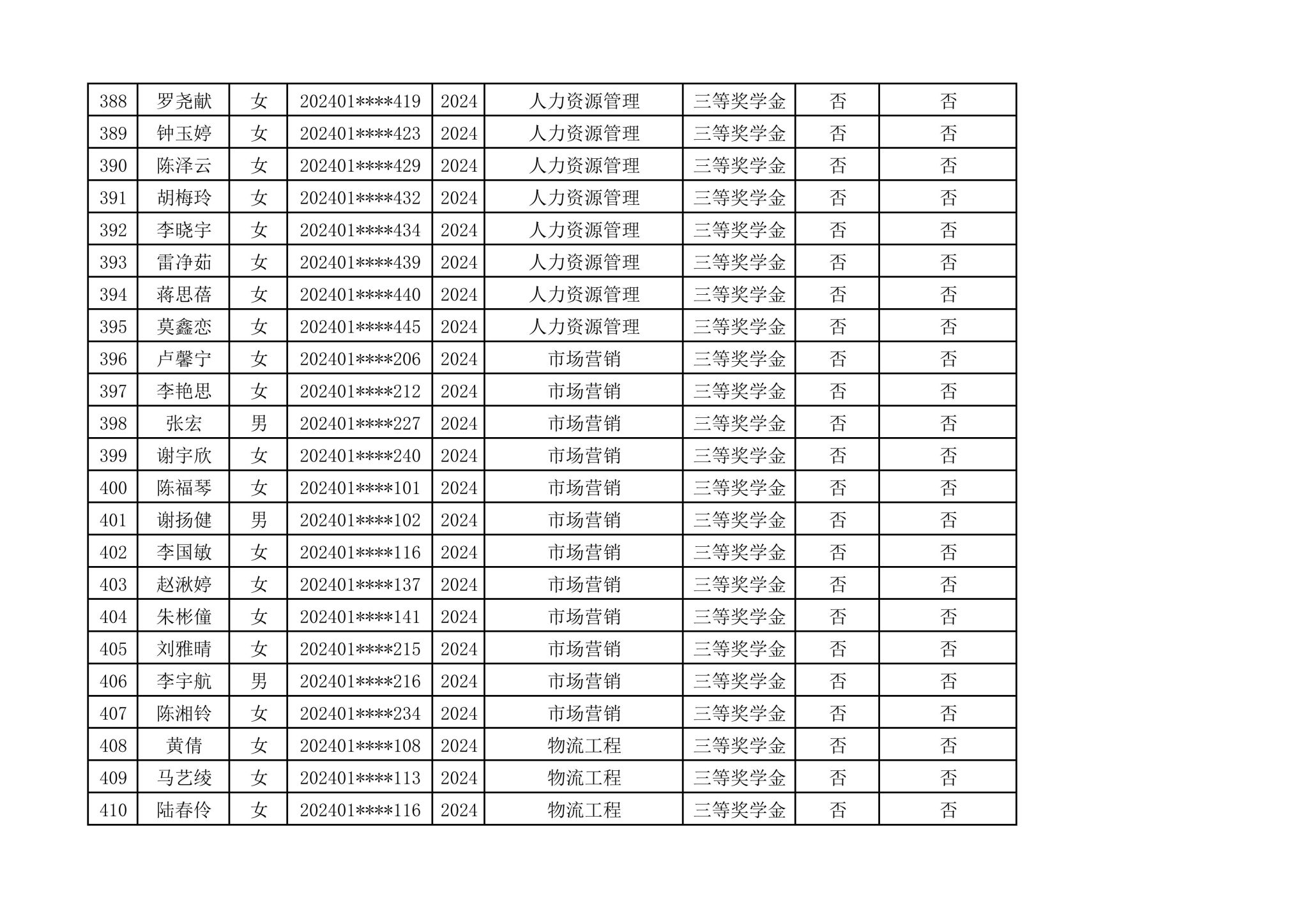
2024-2025年校内学习优秀奖学金管理学院
2025年09月23日 16:38 jln 点击:[]
上一条:
2024-2025年先进班集体管理学院拟推荐名单公示
下一条:
2024-2025学年管理学院拟推荐参加国家奖学金第一轮评选人选公示
【
关闭
】